Proteinindholdet i foder til drægtige søer bør reduceres
KRONIK: Nyt forsøg viser, at vægten af pattegrisene hos de søer, der blev fodret med et lavere proteinindhold, var signifikant højere ved fravænning sammenlignet med vægten af pattegrise fra søer fodret med det højere proteinindhold.

Af: Maria Eskildsen, postdoc, Institut for Husdyrvidenskab, Aarhus Universitet
Om få måneder træder lovkravet om 100 pct. økologisk foder til grise i kraft, og sammenholdt med den globale forsyningssituation bliver det i fremtiden endnu mere relevant at spare på proteinet i danske økologiske grisebesætninger. Organic RDD 6 projektet ’WI-FI’ har vist lovende resultater ved at reducere proteinindholdet i foder til drægtige søer.
Forskere fra Aarhus Universitet, Foulum, har fundet ud af, at det er en rigtig god idé at reducere foderets proteinindhold til søer tidligt og midt i drægtigheden.
Samtidig bør man medregne det protein, søerne får via grovfoderet om vinteren. Dels sparer man på foderudgiften og belaster miljøet mindre, dels har det vist sig, at en reduktion i proteinindholdet øger søernes mælkeydelse, og pattegrisene vokser bedre i den efterfølgende diegivingsperiode.
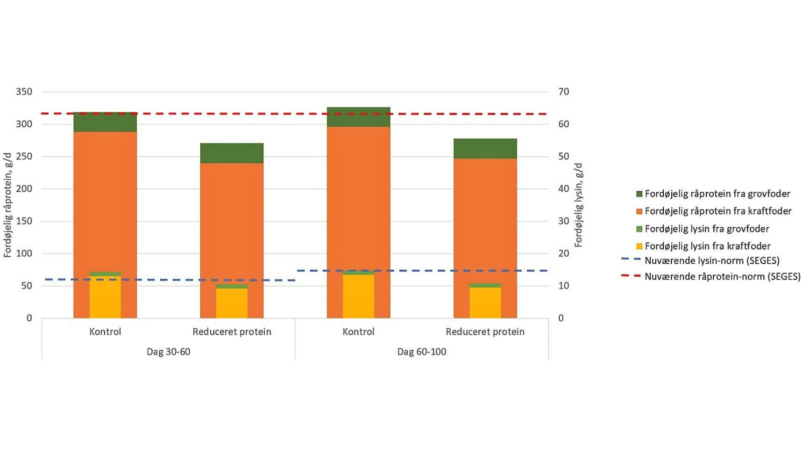
WI-FI har undersøgt i alt 20 drægtige og diegivende TN70-søer gennem vinteren 2020-2021. Halvdelen af søerne blev fodret med et kontrolfoder – den anden halvdel fik foder med et 17 pct. lavere indhold af råprotein.
Fodernormen til idendørs drægtige søer er 90 g fordøjeligt protein pr foderenhed. I forsøget indeholdt kontrolfoderet 76 g fordøjeligt protein, og forsøgsfoderet indeholdt 63 g fordøjeligt protein pr. foderenhed.
Energiindholdet i de to foderblandinger var ens, og i diegivningsperioden blev alle søer fodret med den samme diegivningsblanding. Derudover havde søerne fri adgang til ensilage under hele forsøget.

Vægten af pattegrisene hos de søer, der var blevet fodret med det lave proteinindhold var signifikant højere ved fravænning sammenlignet med vægten af pattegrise fra søer fodret med det højere proteinindhold (en gennemsnitlig kuldvægt på 276 kg mod 238 kg i kontrolgruppen). Ved overforsyning bruger grise energi på at nedbryde det overskydende protein og udskille det i urinen.
Den højere kuldvægt ved fravænning i den protein-reducerede gruppe skyldes sandsynligvis, at søerne her brugte mindre energi på at nedbryde overskudsprotein, og de havde dermed mere energi til rådighed til mælkeproduktion.
’Lav protein-søerne’ havde også en lavere kropsvægt og mindre muskelpulje som følge af det reducerede proteinindtag. Dermed havde de også et lavere behov for energi til vedligehold.

Derudover viste forsøget, at ’lav protein-gruppen’ udskilte 23 pct. mindre kvælstof i urinen på dag 60 i drægtigheden. Søerne i forsøget fik i gennemsnit 17,2 levendefødte med en gennemsnitlig fødselsvægt på 1.670 g og de fravænnede 13,3 grise pr. kuld. Rygspæktykkelsen, antal levendefødte grise eller fødselsvægt blev ikke negativt påvirket af, at drægtighedsfoderet indeholdt mindre protein.
Der er et stort potentiale i resultatet fra WI-FI-resultaterne, der i princippet kan gælde for både konventionelle og økologiske besætninger.
Det er muligt at spare endnu mere på foderbudgettet og mindske kvælstofudledningen ved at undersøge, hvor langt ned grænsen for proteintildeling kan komme. Det er således sandsynligt, at søernes faktiske daglige behov for råprotein i tidlig og midt drægtighed er endnu lavere end det niveau, vi har undersøgt i WI-FI-projektet.
WI-FI projektet er en del af Organic RDD 5 programmet, som koordineres af ICROFS (Internationalt Center for Forskning i Økologisk Jordbrug og Fødevaresystemer). Det har fået tilskud fra Grønt Udviklings- og Demonstrationsprogram (GUDP) under Ministeriet for Fødevarer, Landbrug og Fiskeri.